2009-09-17から1日間の記事一覧

SICP Lite #4

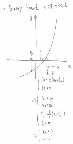
今回で4回目。ようやく1章の終わりが見えてきた感じですが、何となく大事なことが置いてけぼりの感じもしています。とりあえず、SICPを読む上で、最も難関と言われる数学の話。第1章の主題は、単純な手続きを抽象化する方法を身につけて、汎用な関数を作り上…

問題2.4

これも驚き問題。 (define (cons x y) (lambda (m) (m x y))) (define (car z) (z (lambda (p q) p))) (car (cons x y)) => (car (lambda (m) (m x y))) => ((lambda (m) (m x y)) (lambda (p q) p)) => ((lambda (p q) p) x y) => x ; cdrの定義 (define (c…

2.1.3 What is meant by data?

http://mitpress.mit.edu/sicp/full-text/book/book-Z-H-14.html#%_sec_2.1.3この節を始めて読んだときは、かる〜く、ていうか、思いっきりカルチャーショックを受けた。 だって、cons, car, cdrがこんなんで定義できんだぜ。 (define (cons x y) (define (d…